여의도 MBC 부지에 주상 복합 건물이 지어진다. 총 4동의 건물로 오피스 1동, 오피스텔 1동, 아파트 2동으로 구성된다. 오피스텔은 7월 분양 예정이다.

7월 분양 예정이라고 하나 정확한 날짜는 나오지 않았다. 3가지 타입으로 구성된다.
청약 일정은 7월 31일~8월 1일 2일 동안이다.





7월 31일~8월 1일 2일간 진행된 여의도 브라이튼 청약 접수 경쟁률이 나왔다. 높을 거라 예상했기 때문에 놀라운 숫자는 아니다.

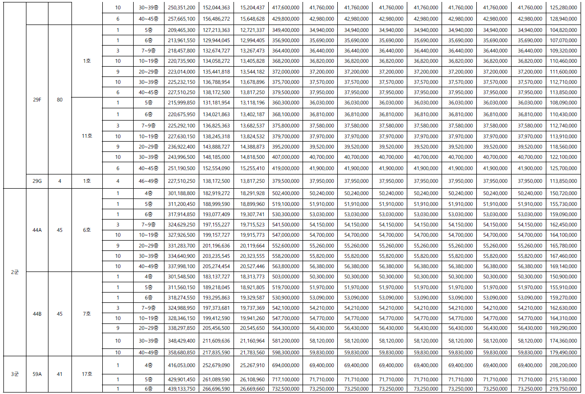
- 모델명 1은 29㎡, 2는 44㎡, 3은 59㎡ 이다.
- 경쟁률이 가장 높은 타입은 59제곱미터 타입으로 152:1이다.
타입별 가격은 다음과 같다.


전용면적 9평이 4억원, 18평이 8억원 정도 가격이다.
댓글 영역